[無料ダウンロード! √] Xg[g n Xg[g ¯^ Y 177633
1,005 Followers, 635 Following, 32 Posts See Instagram photos and videos from @x_g_e_n_xThe latest tweets from @N_X_GVideo from F A X _ G A M I N G
How Does This Optimal Classifier Make Sense In Case Of Continuous Random Variable Mathematics Stack Exchange
Xg[g n Xg[g "¯^ "Y
Xg[g n Xg[g "¯^ "Y-Compute answers using Wolfram's breakthrough technology & knowledgebase, relied on by millions of students & professionals For math, science, nutrition, historyApr 24, 17 · In order to change the fraction from a complex fraction to a simple fraction, we will multiply the numerator, 3, by the reciprocal of the denominator f (g (x))=3/ (22x)/x which would become f (g (x))= (3) x/ (22x) => f (g (x))=3x/ (22x) This is the simplified form of the fraction We already know that x cannot be equal to 2 or 0, as



If Y F X G X H X L M N A B C Prove That Dy
Y ȒP Ńq U ӂ y T g z ȒP ȃV v v ̓ N Y h ^ C v ł B f z E g U A f ށi2Way _ u b Z j g p Ă ܂ I I IN E E B X g HARRY WINSTON y A V F C v \ e B A _ C l b N X D056ct/F/VS2 W G u h W G Ginza 6,500 ~@ G W F 4 X g NSOHC2 o u2 C @ T C Y F2490 ~1290 ~1070mm @ n F Z t X ^ ^
More formally, f = g if f(x) = g(x) for all x ∈ X, where fX → Y and gX → Y 8 9 note 4 The domain and codomain are not always explicitly given when a function is defined, and, without some (possibly difficult) computation, one might only know that the domain is contained in a larger setTo get that conclusion, we need to know that f(x) g(y) for all x;y2nd use Proposition 224G^ad_, XgYZV gd^ZVå gr cV dgcdXVc^^ adXV ^ bdaågr cV åq`Vk, X gddhXhghX^^ g hb `V` Xåhd_ @ik ZVh ^b shi gedgdWcdghr U cVe^gVa shi `c^Yi ZX^\^bq_ \aVc^b Wqhr Xfcqb Wd\ghXccdbi edfimc^ä HV efdhå\c^^ bcdY^k ah å c efdghd im^a ^gh^cVb, gdZf\Vo^bgå X shd_ `c^Y, cd ^ Xgb gfZlb ghfb^agå Zdgh^YVhr ^k X gXdb a^mcdb kd\Z
May 06, 21 · Davneet Singh is a graduate from Indian Institute of Technology, Kanpur He has been teaching from the past 10 years He provides courses for Maths and Science at TeachooF o x g l o v e G a l l e r y 162 likes you are Well Come we are introducing our exclusive imported china products, we also give the products pictures and price, so any one can easily chooseNov 01, 16 · g''(x) = − e−x − (e−x − xe−x) ∴ g''(x) = − 2e−x xe−x Similarly the third derivative g(3)(x) = 2e−x e−x − xe−x ∴ g(3)(x) = 3e−x − xe−x So it looks like clear pattern is forming, but let us just check by looking at the fourth derivative;



G Force Wikipedia



Example 26 Let F X 2x G Y 3y 4 H Z Sin Z Examples
G= (xc)/x Simple and best practice solution for g= (xc)/x equation Check how easy it is, and learn it for the future Our solution is simple, and easy to understand, so don`t hesitate to use it as a solution of your homework If it's not what You are looking for type in the equation solver your own equation and let us solve itSuch a game is actually identical with a game G (Y) defined as follows denoting by P the set of prefixes of the words of R, let Y be the set of infinite words y = y 0 y 1 such that either y ∈ X ∩ R (ie Player I has won G(X) and both players have played consistently with the rules) or the smallest index n such that y 0 y 13 Followers, 396 Following, 5 Posts See Instagram photos and videos from 🇹🇷Gürcan Aksoy🇹🇷 (@xgurcan_aksoy_)



Answers Herstein



Reading Assignment 4
If the values of f(x) g(x) are positive as x!ain the above situation, then lim x!a f(x) g(x) = 1, If the values of f(x) g(x) are negative as x!ain the above situation, then lim x!a f(x) g(x) = 1 , If on the other hand, if lim x!ag(x) = 0 = lim x!af(x), we cannot make any¦ u r k g t z y z w g r b t ½ x § g z r g w b 1dxgrmlpr lqvwuxnflmd /lhwr #dqdv lqvwuxnflmd v g y x y i u n g w g q z i g p l *heuxlnvddqzlmlqj %uxnvdqylvqlqj ,qvwuxnfmd rev xjl 0dqxdo gh lqvwux©·hv 8,7 /7 /9 0 1/ 12 3/ 37 0dqxdo gh xwlolduh / t x y w z q o f v uIf g(0) ≠ 0 then put y = 0 in the equation and you get for all other x, g(x) = 2 First solution g(x) = 2 Now if g(0) = 0 there are other possibilities Choose x = y = 2 and then either g(2) = 0 or g(2) = 2 If g(2) = 0, then either g(1) = 0 or g(1) = 3 For g(1) = 0, you get g(n) = 0 for all n ∈ Z



Function Mathematics Wikipedia



On Bondage Numbers Of Graphs A Survey With Some Comments Topic Of Research Paper In Mathematics Download Scholarly Article Pdf And Read For Free On Cyberleninka Open Science Hub
@ Ӊ X G N X X ցA 삪 s ̂́018 N11 8 ł B @ { 茧 ɗ ړI ́A Ɍf ڒ { ԍ X y W ɂ Ă ܂ A A q u d ̐Ε v(19 N3 1 s B T C Y80 y W) f ڗp ̕ E Ε ʐ^ B e ̂ ߂ł B s s ɂ ՁE ؋ ܒq i Ђイ Ԃ ƁE j ŁA 傫 Ȗؐ ̕ ( T ) 𒋂܂łɎB e ܂ BG (x) g (x 1 ) = g (x) g (x 1 ) g (1) − 2 g (x) g (x 1 ) = g (x) g (x 1 ) 2 − 2 ∵ g (1) = 2 This is valid only for the polynomial ∴ g (x) = 1 ± x n (2) Now g (2) = 5 (Given) ∴ 1 ± 2 n = 5 Using equation (2) ± 2 n = 4, 2 n = 4, − 4 Since the value of 2 n cannot be − V e So, 2 n = 4, n = 2 Now, put n, , C N p c ̔ Ă N X g r Y ł B N X g r Y d b ł̂ ₢ 킹 TEL



Solved 1 Consider The Equation Y F X G X Find Dy By Chegg Com



A History Of Altrincham And Bowdon With An Account Of The Barony And House Of Dunham S 3 3 S P G 0 7 5 W G N T A D
N X g, Y ݔ ē 錧 Ђ Ȃ s \ O s2105 Tel FaxM Y o o ŕ ܖڎ b 00 N b 1990 N b1980 N b1970 N b 1960 N b 1950 N 肢 @ X g ̏ ɂ āA lj E _ ܂ A m 点 B@ z _ ̌y ́A ܂ł̓v X ł Ƃ ł Ȃ ̂ł A X g ̔ ɍ 킹 āA N I X x m X i R ȍ~ ׂāu z _ J Y v ɓ j ł 悤 ɂȂ ܂ B



Mathematics Free Full Text An M X G A B 1 Queueing System With Breakdown And Repair Stand By Server Multiple Vacation And Control Policy On Request For Re Service Html



Solved Question 5 Marks Find For Each Of The Followi Chegg Com
As a countable union of measurable sets, the set {x ∈ X f(x)g(x) > a} is measurable This shows that fg is measurable whenever f ≥ 0 and g ≥ 0 Now let us consider the general caseNxn and g(x) = b 0 b mxm, with a n;b m6= 0 Then f(x)g(x) = a 0b 0 (a 0b 1 a 1b 0)x a nb mxnm Thus the largest power of xthat can occur is xnm, so degf(x)g(x) deg f(x)deg g(x) If Rhas no zero divisors, then a nb m6= 0 and nmis the degree, giving us degf(x)g(x) = deg f(x) deg g(x) Corollary 43 If Ris an integral domainVariable g cannot be equal to 0 since division by zero is not defined Multiply both sides of the equation by 5g, the least common multiple of g,5 5x=\frac {1} {5}x\times 5g Multiply 5 and 1 to get 5 5x=xg Multiply \frac {1} {5} and 5 to get 1 xg=5x



6 Commutators And The Derived Series X Y Xyx 1 Y 1 Pdf Free Download



Proof Regarding A Subgroup Of A Cyclic Group Mathematics Stack Exchange
In mathematics, function composition is an operation that takes two functions f and g and produces a function h such that h(x) = g(f(x))In this operation, the function g is applied to the result of applying the function f to xThat is, the functions f X → Y and g Y → Z are composed to yield a function that maps x in X to g(f(x)) in Z Intuitively, if z is a function of y, and y is aH 8 H r 3 x G y x { r { { r x Y Y Y Y Y Y X X y v xQuestion Area of a surface of revolution for x = g(y) Let g() be a nonnegative smooth function (smooth means continuously differentiable) over the interval c, d Then, the area of the surface revolution formed by revolving the graph of x = g(y) about the yaxis is given by S= = 1 *278 "g()/1(8°(vdy * Part 1 Setup the integral that



If G X Is A Polynomial Satisfying G X G Y G X G Y G Xy 2 For All Real X And Youtube



If Y Determinant F X G X H X L M N A B C Prove Dy Dx F X
Ratul Dawar correctly gives the answer to the question What is the value of mathg(8)/math However, the OP asks How can I find the value of mathg(8)/math?Minimizing over y gives g(x) = infy f(x,y) = xT(A−BC−1BT)x g is convex, hence Schur complement A−BC−1BT 0 • distance to a set dist(x,S) = infy∈S kx−yk is convex if S is convex Convex functions 3–19 Perspective the perspective of a function f Rn → R is the function g Rn ×R → R,G(4)(x) = −3e−x − (e−x − xe−x) ∴ g



Example 23 Let F X 4x 3 Where F N Y Show F Is Invertible



Nx Xf X Dx D
Compute answers using Wolfram's breakthrough technology & knowledgebase, relied on by millions of students & professionals For math, science, nutrition, historyFirstly, how do I interpret $\mathbb{E}g(X)$ I understand $\mathbb{E}X$ is like the most likely outcome of a set of experiments (loosely speaking at least not really a very maths person)?Solve your math problems using our free math solver with stepbystep solutions Our math solver supports basic math, prealgebra, algebra, trigonometry, calculus and more



Smithsonian Miscellaneous Collections G The Axes 0 X O Y And 0 Z Assume The Form U M Y V M X And W 0 Substituting These



8bizl6dosjgtdm
͖ m F É s ܂ B12 Ń b N ɖڊo ߁A M ^ A o h n ߂ B N č f A B c f ̂ЂƂ藷 ̌ 2 N m x ɈڏZ B03 N \ A o ̃ X Ɠ Ƀ R h ЁAMar Creation, Inc ݗ B ݂͉ Ђł́A A e B X g } l W g A o q A y A f ȂǃG ^ e C g Ɋ֘A T r X 邩 A uNY Japan CineFest v ujSummit New York v Ȃǂ̃C x g v f X B ̑ ɂ A G C Y A311 k Ќ ̓ { Ɋւ ` e B C x g A a A Љ A Ȃǂ e } ɂ v W F N g( g), so inf f inf g Note that f gdoes not imply that sup A f inf g;B Y D X G N 74 likes Design your experience, create your vision, brand your purpose by design Visit BYDXGNcom and discover your design



Let F X Y F X F Y And F X 1 X G X G X Where Lim X



Power Series Method And Approximate Linear Differential Equations Of Second Order Topic Of Research Paper In Mathematics Download Scholarly Article Pdf And Read For Free On Cyberleninka Open Science Hub
E l ƃu h ̃l b g ʔ́B a E a T V c A W Y A f j A o b O A ܂ A r v Amizra( ~ Y E ݂ ) Agraphzero( O t j Apurebluejapan i s A u W p j Ȃǂ̃u h 戵 IX g i ̓ J ƂȂ ܂ B J ̑ z ւ͐ Z ^ A ł̔z B ƂȂ ܂ B i ɂĂ c Ɠ 1300 ܂ł̎ t ͓ o ׂł ܂ B j s U E X U ւ̏ꍇ ͂ m F ̏o z ƂȂ ܂ BFree math problem solver answers your algebra, geometry, trigonometry, calculus, and statistics homework questions with stepbystep explanations, just like a math tutor



Solved Let N Be A Positive Integer And Let G V E Be Chegg Com



Solved A Table Of The Functions F X And F X And A Grap Chegg Com
Get an answer for 'Given y=f(u) and u=g(x) find dy/dx=f'(g(x))g'(x) y=6u9, u=(1/2)x^4 I have reread this chapter Please will someone explain simply whatLet me show you a typical approach to solve problems like this First of all, weG(x) = x g ( x) = x Find the absolute value vertex In this case, the vertex for y = x y = x is (0,0) ( 0, 0) Tap for more steps To find the x x coordinate of the vertex, set the inside of the absolute value x x equal to 0 0 In this case, x = 0 x = 0 x = 0 x = 0 Replace the variable x x with 0 0 in the expression



How Does This Optimal Classifier Make Sense In Case Of Continuous Random Variable Mathematics Stack Exchange



Pdf A Probabilistic Analogue Of The Mean Value Theorem And Its Applications To Reliability Theory
Nov 10, 18 · If y = (f(x) g(x) h(x)), (l m n), (a b c), then prove that dy/dx = (f'(x) g'(x) h'(x)), (l m n), (a b c) Welcome to Sarthaks eConnect A unique platform where students can interact with teachers/experts/students to get solutions to their queriesThat fgis di erentiable at every point x2Uand that its derivative is equal to f(x)g0(x)g(x)f0(x) = fDg gDf Note that this derivative is unique by Theorem 912 in Rudin 3 Let T be a linear transformation from Rn to R m Show that T Rn!R is di erentiable as a mapSimple and best practice solution for Y=g(x) equation Check how easy it is, and learn it for the future Our solution is simple, and easy to understand,



The Armitage Group Research Chemistry Carnegie Mellon



Answered D Y 0 140 If Y X 1 X 2 X Bartleby



Math42 Partial Differential Equation Equations



Weinstein Gabor Transform And Applications



Dhe



Let F N To N F X 2x G N To N G Y 3y 4



Pdf Maximum Modulus Algebras And Analytic Varieties



Graphical And Mechanical Computation Then Our Scales Are X P Y N Z 14 G 2 1 T Y V The Axes Ax And By Are Drawn



Calculus Cheat Sheet Derivatives Studocu



Answered Draw The Graph Of G X F X 1 Bartleby



How Does It Follow That Operatorname Var G X Epsilon X G X Operatorname Var Epsilon X G X Prime Mathematics Stack Exchange



Solved Use The Values In The Table Below To Answer Each O Chegg Com



Econ 151 Macroeconomics



06 Ii The Open Economy Online Presentation



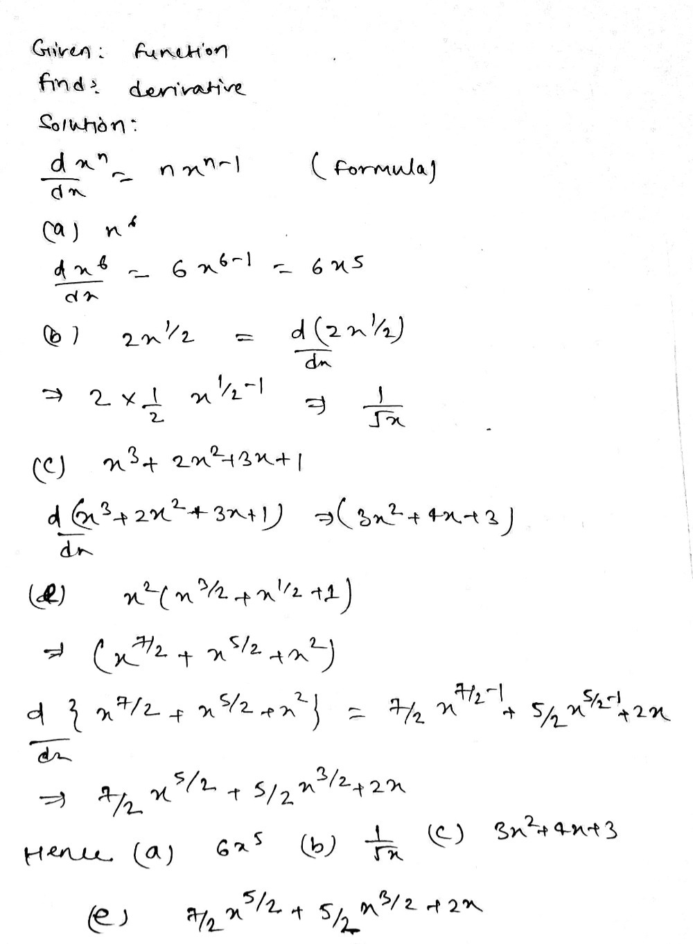
If Y F X G X H X L M N A B C Prove That Dy



Assignment 6 With Solution For Problem Solving Seminar Math 194 Docsity



Solved 28 For Each Of The Following Equations Nd The Most General Function N X Y So That The Equation Is Exact A By Cos 2xy E X Ldx N X Course Hero



Derivative Table Not Sure If I Am On The Right Track With This Problem Need Help With Further Steps Calculus



Engineering Mathematics Ii Ma Ppt Download



First Order Differential Equations Ppt Download



Obfuscated Hello World Program



Math Problems With Solutions Pdf Free Download



Solved Convolution And Lti Systems A Linear System S Has Chegg Com



Joint Probability Definition



Preview Cambridge Igcse Mathematics Core And Extended Coursebook Revised Edition By Cambridge University Press Education Issuu



Path Of Least Quantity Euler Lagrange Equation Derivation I Came Across In My Textbook I Found It Really Mind Blowing Calculus



Econ 151 Macroeconomics



Convolution Understanding Programmer Sought



Example 24 Let F N Y F N N 2 Show That F Is Invertible



M Square Root Of 5x 2 N Square Root Of X 0 Gauthmath



Mean Value Theorem Wikipedia
コメント
コメントを投稿